Volume 19, Issue 4 (Desember 2022)                   IJMSE 2022, 19(4): 1-11 | Back to browse issues page


XML Print


Download citation:
BibTeX | RIS | EndNote | Medlars | ProCite | Reference Manager | RefWorks
Send citation to:

Hosseini N M, Bahri Z, Azizi A. Investigating the Effect of Zero Prewetting Time on Rougher Flotation of Coal Tailings. IJMSE 2022; 19 (4) :1-11
URL: http://ijmse.iust.ac.ir/article-1-2778-en.html
Abstract:   (16621 Views)
The beneficiation of coal tailings is usually difficult by common oily collectors in the flotation process, so
it is necessary to use a suitable method for clean coal recovery from coal tailing dams. Thus, this study was aimed
to investigate the behavior of dissolved air flotation by zero prewetting time for the clean coal recovery and to
optimize the conditions of zero prewetting time for an effective flotation. In this regards, the effects of the process
parameters, i.e., pH, frother type, collector type on the rougher flotation recovery of coal tailings were assessed and
optimized. Additionally, Fourier transform infrared (FTIR) spectroscopy was used to understand the functional
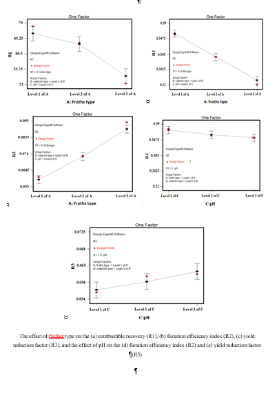
groups of oily collectors on the surface of floated products. The findings indicated that the frother type and the
interactive effects between the type of frother and collector had the most effect on the performance of flotation. It
was also found that under the optimal conditions (150 g/t Methyl isobutyl carbinol, 1500 g/t gas oil, and pH 4), the
combustible recovery, yield reduction factor, and flotation efficiency index of coal reached to 67.79%, 0.056%, and
37%, respectively. Meanwhile, the FTIR analysis confirmed that the less adsorption of gas oil collector occurred in
the presence of SDS (Sodium dodecyl sulfate) as frother due to the interaction of SDS and collectors
Full-Text [PDF 1024 kb]   (5022 Downloads)    
Type of Study: Research Paper |

Add your comments about this article : Your username or Email:
CAPTCHA

Send email to the article author


Rights and permissions
Creative Commons License This work is licensed under a Creative Commons Attribution-NonCommercial 4.0 International License.

© 2022 All Rights Reserved | Iranian Journal of Materials Science and Engineering

Designed & Developed by : Yektaweb